客服电话 :134 5512 0297

行业新闻

  • 首页
  • 新闻资讯
  • 行业新闻
Images

上海东方医院:静脉输注干细胞治疗30例老年衰弱患者,结果安全有效

  • 干细胞之父
  • 2024-04-26
  • 干细胞,老年衰弱,MSC治疗

原文链接:https://mp.weixin.qq.com/s/Tombheizr9FmaYGuvNPSjQ

国家统计局发布的数据显示,截至2022年末,我国60岁及以上人口为28004万人,占总人口的19.8%,其中65岁及以上人口为20978万人,占14.9%。然而我国老年人的整体健康状况并不乐观,其中身体衰弱成为最大的健康问题。



图片


老年衰弱( 简称“衰弱” Frailty) 是一种现代老年综合征,是指老年人生理储备下降,导致机体易损性增加、抗应激能力下降的一种非特异性状态,这一状态增加了老年人跌倒、住院、残疾甚至死亡等不良临床事件的风险。


衰弱涉及的范围较广,能够导致机体多个系统的生理学变化,包括神经、内分泌、免疫、心血管、呼吸及泌尿等系统。提高老年人的生活质量,其中一个重要的方向就是减轻老年人的疾病困扰,控制那些伴随着年龄增长而加剧的疾病。


多项已发表明的研究表明,衰老与成人干细胞再生和分化能力下降有关,这可能在年龄相关疾病的发病机制中起着至关重要的作用,事实上,使用干细胞制剂延缓衰老情况有强有力的理由。


图片

图片


2024年2月,权威期刊《中华老年医学杂志》发布了《延缓衰老药物干预研究中国老年医学专家共识(2024)》,这是我国首部关于延缓衰老药物干预研究的专家共识。干细胞治疗被认为是一类科学延缓衰老的策略,被写进专家共识。(干细胞治疗被写进我国首部《延缓衰老药物干预研究中国老年医学临床专家共识》(2024)

这一共识的发布,为干细胞在抗衰老领域的应用提供了有力的支持。

目前干细胞被广泛应用于衰老相关性疾病或慢性病的治疗中,例如老年痴呆、帕金森、特发性肺间质纤维化、肌肉萎缩症、神经系统疾病、糖尿病、心血管疾病等科学家正在开发基于干细胞的产品,致力提升衰老机体各组织的功能。



MSC治疗衰弱的机制


间充质干细胞(MSC)是成体干细胞的一种,具有自我更新和多向分化的能力,被认为是再生医学领域极具前景的干细胞类型之一,近年来,MSC在退行性病变和衰老相关疾病治疗方面已经取得了显著的进展。


01大脑衰老

随着年龄增长,大多数人的大脑会发生特征性变化,包括脑萎缩、神经元和突触连接缺失,进而导致神经元活动下降和与神经变性相关的突触功能障碍,表现为记忆力下降、手脚颤抖等。间充质干细胞通过旁分泌细胞因子进行神经保护,包括促进神经发生、神经分化和抗炎。此外,间充质干细胞还可以通过减少斑块沉积和增强突触稳定性来改善认知功能。

02心血管风险

心脏衰老表现为心脏功能下降和进行性心脏结构重塑,导致老龄化人群心血管疾病的发生及进展。一些临床前研究表明,间充质干细胞可以通过不同的机制发挥心脏保护作用并促进心脏功能,包括分化为内皮细胞和心肌细胞样细胞以促进新生血管形成和心脏修复、抑制心肌细胞损伤和随后纤维化引起的过度炎症反应、缩小梗死体积以及调节心脏结构重塑等。

03肌肉减少

肌肉减少症是老年人虚弱的主要原因。移植间充质干细胞可以对肌肉发挥保护作用,包括抑制肌肉凋亡和调节慢性炎症以及激活常驻骨骼肌干细胞,达到促进肌肉生成并改善身体机能的目的。


上海东方医院最新研究


2024年1月,上海东方医院江华教授团队发表了一项研究成果,证实了使用脐带来源的间充质干细胞治疗老年衰弱的安全性和有效性这项研究是一项随机、双盲、安慰剂对照的临床试验,研究成果已在Research Square平台发表。


图片


该研究中30名老年衰弱患者被随机分配到MSCs组和安慰剂组,在治疗组中,患者每月接受一次静脉输注MSCs,共两次,每次剂量为1×10^6个细胞/kg。对照组患者则接受相同体积的0.9%生理盐水,整个研究期间密切监测患者的健康状况。



安全性结果

在本研究的6个月随访期间,未观察到严重不良事件,两组之间的不良事件发生率没有差异,安慰剂组的2名(13.33%)参与者(一例背痛,一例下肢水肿)和MSCs组的1名(6.77%)参与者(一例头晕)发生了不良事件。所有不良事件都是短暂的,被认为与治疗无关。没有患者因不良事件退出本研究。两组在所有时间点的实验室测试结果和生命体征方面均无临床重要差异。


有效性结果


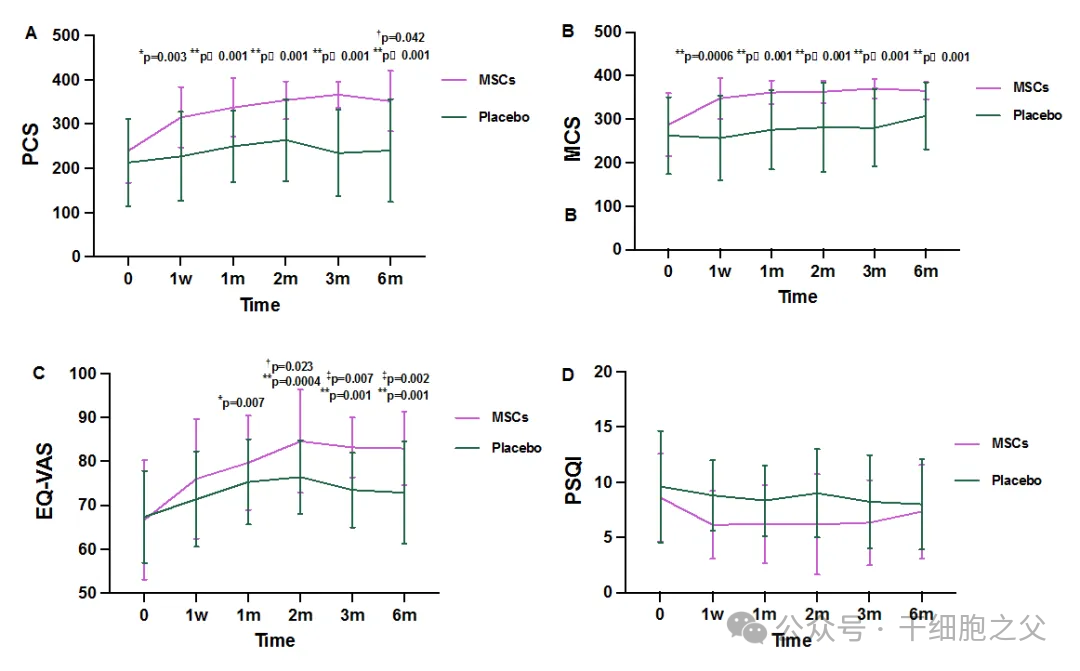
(1)生活质量评估

与基线相比,MSCs组健康调查量表36(SF-36)躯体健康测量(PCS)变化有所改善,从基线到第6个月的PCS变化明显大于安慰剂组。EQ-VAS是个人感知生活质量的指标,与安慰剂组相比,MSCs组在2个月的随访中EQ-VAS评分有所提高,并一直持续到访视结束。在6个月的随访中,EQ-VAS的改善最为显著。MSCs组的EQ-VAS评分与基线相比有显著改善,安慰剂组在6个月内这些变量没有差异。

图片


(2)功能状态测试

与安慰剂组相比,从首次访视到所有随访点,注射HUC-MSCs的患者起立-行走计时测试(TUG)改善更大。在6个月时,MSCs组的4分钟步行试验(4MWT)性能显著改善。在几次随访中,通过握力测量,MSCs组身体机能增强,而握力增加最显著的是在随访6个月。受试者的5次坐立测试(FTSST)没有发现统计学上的显著差异。

图片


(3)炎性因子水平

炎症细胞因子的表达与老年人的虚弱有关。在本研究中,连续六次测量两组血清细胞因子(TNF-a、INF-g、IL-8、IL-17)水平。与对照组相比,在第6个月时,接受HUC-MSCs输注的患者中观察到TNF-a浓度下降。MSCs治疗组的IL-17水平在第6个月时与安慰剂组相比显著降低。HUC-MSCs没有显著降低IL-8和IFN-γ的水平。

图片


本研究的数据表明,HUC-MSCs可能通过增强身体机能和抑制慢性炎症发挥其有益作用,MSC治疗老年衰弱可提高生活质量。除了抗炎作用外,MSC能够促进组织再生、肌肉力量以及整体身体机能。HUC-MSCs给药后身体机能和生活质量改善的潜在机制可能部分归因于MSC的再生能力。


MSC治疗的治疗益处可能来源于其旁分泌作用,如分泌负责调节细胞微环境、促进组织修复和再生的生长因子和细胞因子。在老化衰弱领域具有巨大潜力,为人们带来延长寿命的同时获得健康衰老的希望。


免责说明:本文信息来源于网络,原文作者见标题下方作者栏显示,本文仅作知识交流与分享及科普目的,不涉及商业宣传,深创所发布的信息不能替代医生或药剂师的专业建议。如有版权等疑问,请随时联系我进行删除。